En esta clase de Física para estudiantes de escuelas secundarias continuaremos con la primer parte de CALOR.
Dilatación de los sólidos
Variar la temperatura de un cuerpo sólido es lo mismo que alterar la energía de sus partículas, de modo que sus vibraciones se hacen más grandes (si la temperatura aumenta) o mas pequeñas (si la temperatura disminuye), produciendo variaciones de tamaño. La dilatación puede afectar a su longitud inicial (Lo), a su superficie inicial (So), o a su volumen inicial (Vo).
En todos los casos la variación es proporcional a la magnitud inicial y al incremento de temperaturas ▲T (diferencia de temperaturas).
Estas son las ecuaciones correspondientes:
Los coeficientes de dilatación lineal (alfa), superficial (beta) y cúbica (upsilon) dependen de la naturaleza del objeto. Se pueden definir como la variación por unidad de la magnitud correspondiente (longitud, superficie o volumen) cuando la temperatura varía un grado. Sus unidades son °C^-1 (grados Celsius elevados a la -1, también se puede decir 1/°C) en los tres casos. Así por ejemplo, el coeficiente de dilatación lineal expresa lo que aumenta o disminuye un metro de longitud de una sustancia cuando sube o baja un grado la temperatura.
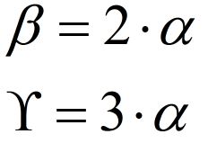
Estos coeficientes no son independientes entre sí. De modo aproximado se puede afirmar que para un mismo cuerpo:
De esta forma, conociendo el coeficiente de dilatación lineal para una sustancia, podemos determinar automáticamente los coeficientes de dilatación superficial y cúbica.
Como observamos en la tabla de abajo, los coeficientes de dilatación son en general bastante bajos, haciendo falta considerables variaciones de temperatura para que las alteraciones se perciban fácilmente. Por ejemplo, una viga de hormigón de 10m de longitud aumenta 1mm su longitud con un aumento de temperatura de 10°C.
El carácter lineal de la dilatación que muchos cuerpos sólidos (y también muchos líquidos) hace de la dilatación de las sustancias una excelente propiedad termométrica, es decir, podemos comparar las diferentes temperaturas entre cuerpos iguales a partir de una comparación de sus tamaños.
No todos los materiales se comportan de esta forma tan lineal. Si calentamos un trozo de madera se dilatará y si la enfriamos posteriormente se contraerá. Sin embargo, difícilmente volverá a tener el mismo tamaño del principio, aunque la temperatura si haya vuelto a su nivel inicial.
Hagamos un ejercicio juntos:
Determinar el coeficiente de dilatación de un cuerpo, sabiendo que su longitud inicial es de 1m, pero que se reduce a 0.99902m cuando su temperatura pasa de 30°C a 10°C.
Primero despejamos el coeficiente:
Ahora calculamos con esta formula, remplazando los valores:
Dilatación de los fluidos
En los líquidos y gases sólo tiene sentido hablar de la dilatación cúbica, puesto que carecen de forma propia y se adaptan al envase.
En el caso de los líquidos es preciso que tengamos en cuenta la dilatación del recipiente. El líquido experimentará una dilatación aparente que será igual a la dilatación real menos la del recipiente. Si utilizamos un material con un coeficiente de dilatación mucho más bajo que le del líquido, podremos despreciar la dilatación del envase.
Es conveniente señalar el fenómeno de la dilatación anómala del agua. Esta sustancia tiene su máxima densidad a 4°C de temperatura. Si enfriamos el agua por debajo de esa temperatura, e inclusa la congelamos, su volumen aumenta en vez de disminuir. Una vez que está solidificada se recupera la normalidad, es decir el hielo a -10°C presenta mayor volumen que el hielo a -30°C. Por encima de los 4°C, el agua también se dilata normalmente.
Gracias a esta rareza del agua, las profundidades de los mares se encuentran a 4°C (la presión obliga al agua a buscar su temperatura de máxima densidad). También los icebergs flotan en el agua debido a su dilatación anómala.
Respecto a los gases, su carácter compresible hace que pueda no existir dilatación al aumentar la temperatura. Para colocarnos en una situación comparable a la de líquidos y sólidos debemos mantener el gas a presión constante al subir o bajar la temperatura. El ejemplo típico sería un gas encerrado en un recipiente cilíndrico con un émbolo móvil que pueda ascender o descender según el volumen del gas. En estas circunstancias, todos los gases tienen un coeficiente de dilatación cúbica de aproximadamente 1/273.15°C.
El termómetro
Cuando hablamos de temperatura utilizamos la escala con la que estamos más familiarizados, la escala celsius. Además de la Celsius, existen otras escalas.
En 1730 René Antoine Ferchault de Réaumur propuso una escala que hoy está en desuso. Para pasar de la escala Celsius a la de Réaumur se puede utilizar la siguiente ecuación:
Donde TR es la temperatura Réaumur y TC es la temperatura Celsius. Esta escala aún se emplea ocasionalmente en la industria del almíbar y los caramelos.
En la escala Fahrenheit, el punto cero se determina por el equilibrio entre una mezcla de agua, hielo y cloruro amónico y el punto 96°F como el correspondiente a la temperatura habitual del cuerpo humano. Para convertir una temperatura Celsius a Fahrenheit usaremos:
En 1730 René Antoine Ferchault de Réaumur propuso una escala que hoy está en desuso. Para pasar de la escala Celsius a la de Réaumur se puede utilizar la siguiente ecuación:
En la escala Fahrenheit, el punto cero se determina por el equilibrio entre una mezcla de agua, hielo y cloruro amónico y el punto 96°F como el correspondiente a la temperatura habitual del cuerpo humano. Para convertir una temperatura Celsius a Fahrenheit usaremos:
About Ana Emilia de Orellana
Hola! "Los Puntos De Apoyo" es un blog construido para brindarle material de estudio a todo aquel que se encuentre en el colegio secundario, cursando el ingreso a la universidad, o bien en una carrera de grado. Asimismo compartiremos noticias y material divertido para los amantes de física como nosotros. Disfruta!














0 comentarios:
Publicar un comentario